Het bewijs dat je overal overheen kunt komen

Ziekte, Gezondheid, gezondheidszorg
door Tessel in t Veld
maandag, 28 januari 2013 om 12:46
Desired logo
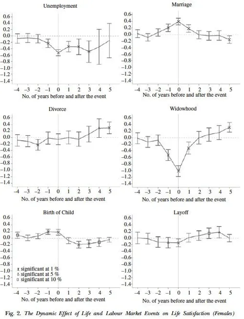
Na het bestuderen van 20 jaar aan onderzoek en enquêtes uit Duitsland vonden onderzoekers bewijs dat mensen na een tegenvallende gebeurtenis in hun leven weer terugkeren op hun oorspronkelijke niveau van geluk. Door de dood van een echtgenoot bijvoorbeeld zakt het geluksniveau drastisch maar na een jaar gaat dit niveau alweer omhoog en na twee jaar kan dit niveau zelfs stijgen boven het oorspronkelijke niveau. Dit geldt ook voor andere negatief, maar ook positieve gebeurtenissen. Mensen komen eroverheen. Hieronder zie je een aantal grafieken afkomstig uit de paper: Mannen: Vrouwen:
screen20shot202013 01 2620at202421020pm
screen20shot202013 01 2620at202432220pm
loading

Loading